MATH 480:
Homework # 1 Solve the Following L. P. P.degeneracy (cycle)
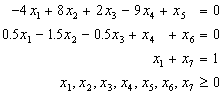
min ![]()
s. t.

Solution:
a1 a2 a3 a4 a5 a6 a7 b

leave
inter
a1 a2 a3 a4 a5 a6 a7 b
==>
==> 
==> 
this solution is exactly the same as the first tableau
Solves using Bland rule
with
==> 
solution is
.